Patlamadan Korunma Dokümanı Örnek Hesaplama
TS EN 60079-10-1:2021 standardına göre kapalı alan patlayıcı gaz ortam oluşma ihtimalinin değerlendirilmesi üzerine bir örnek:
Boyutları 5 m x 6 m ve yüksekliği 4 m olan bir bina içerisinde bulunan regülatör vasıtası ile kullanılan propan gazının basıncı 3 bardan 1,5 bara düşürülmektedir. Bu bina içerisinde oluşabilecek patlayıcı gaz ortam değerlendirmesini (ZONE hesaplaması) yapalım.

Resimde de görüldüğü üzere, propan gazı 3 bar basınç ile bina içerisine girmekte ve regülatör (basınç düşürücü) ile 1,5 bar basınca düşürülmektedir.
Öncelikle bu alandaki salım kaynaklarının tespit edilmesi gerekmektedir. Bina içerisinde 5 adet salım kaynağı görülmektedir. Bunlar;
SK1: Regülatör öncesi vana
SK2: Regülatör öncesi manometre
SK3: Regülatör
SK4: Regülatör sonrası manometre
SK5: Regülatör sonrası vana
Salım kaynakları belirlendikten sonra, salım derecesine karar vermek gereklidir. Bina içerisindeki tüm salım kaynakları, normal çalışma koşullarında yanıcı gaz salımı gerçekleşmesi beklemeyen kaynaklar olduğundan dolayı, salım derecesi ikincil salım olacaktır.
Hesapların hangi salım kaynağına göre yapılması gerektiğine TS EN 60079-10-1:2021 standardı B.4 maddesinden yararlanarak karar verilmelidir. TS EN 60079-10-1:2021 B.4'de birden çok salım kaynağı bulunan bina içi alanlarda, farklı salım derecelerinin toplanması gerektiği belirtilmektedir. Ancak salımların hepsi ikincil salım derecesinde olduğundan dolayı, ikincil salımlarda en büyük (en riskli) salım kaynağı dikkate alınarak hesaplama yapılmalıdır. Burada salımın büyüklüğünü belirleyen iki ana faktöre bakmamız gerekmektedir. Bunlar basıncın ve gaz salımının gerçekleşeceği delik çapının (S) büyüklüğüdür. Regülatör öncesinde basınç daha yüksek (3 bar) ve TS EN 60079-10-1:2021 standardı çizelge B.1 uyarınca vanada, flanşlara göre daha büyük salım açıklığı öngörüldüğünden dolayı, hesaplamalarda salım kaynağı SK1 (regülatör öncesi vana) dikkate alınmıştır.
Sırada salım debisi hesabınının yapılması gerekmektedir. Hesaplamalara başlamadan önce yanıcı gaz, yani propan ile ilgili aşağıdaki kimyasal özellikleri malzeme güvenlik bilgi formundan, TS EN 60079-20-1 standardından ya da literatürden yararlanarak bulmamız gereklidir.
Propan gazı için (CAS No: 74-99-7) için kimyasal özellikler:
Molekül ağırlığı = 44,09 kg/kmol
Alt patlama limiti (LEL) = %1,7
Sabit basınçta özgül ısı (cp) = 2512 J.kg-1.K-1
Salım Debisi Hesabı:
Gaz yoğunluğu (ρg):

= 1,83 kg/m3
Burada;
Atmosfer basıncı (Pa) = 101325 Pa
Üniversal gaz sabiti (R) = 8314 J/kmol.K
Mutlak iç ortam sıcaklığı (Ta) = 293 K
Poliptropik İndeks (γ):

= 1,08
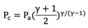
Kritik Basınç (Pc):

= 1,7 x 105 Pa
Gazın salım debisi (Wg):
Sistemdeki basınç 3 bar (3x105 Pa) ve kritik basınç 1,7 bar (1,7x105 Pa) yani P>Pc olduğundan dolayı gazın salım debisi soniktir (ses hızındadır). Sonik salınım için salım oranı (Wg);

= 1,49 x 10-3 kg/s
Burada S delik açıklığı TS EN 60079-10-1:2021 standardı Çizelge B.1 uyarınca 2,5 mm2 alınmıştır. Salım kaynağı vana olduğundan dolayı, "vana gövdesine bağlı çubuk biçimli elemanlar" öğesi dikkate alınmıştır. (Deşarj sabiti cd=0,75 ve sıkıştırılabilirlik faktörü Z=1 alınmıştır.)

Salım debisi belirlendikten sonra sırada havalandırma ve seyrelme koşullarının tayini gelmektedir.
Salım Karakteristiği (Qc):
Qc = Wg / ( ρg x LEL) = 0,05 m3/s
Burada LEL değeri vol/vol cinsinden, yani 0,017 olarak alınmaktadır.
Seyrelme Derecesinin Tayini:
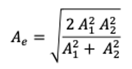
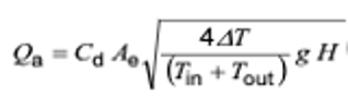
Örneğimizde kapalı bir hacimde, doğal havalandırma ile seyrelmenin gerçekleşmekte olduğu belirtilmektedir. Bu örneğin çözümünde havalandırmanın sıcaklık farkı etkisi ile gereçekleştiği göz önüne alınmıştır. Bina içi sıcaklık Tin = 25 C ve dış ortam sıcaklığı Tout = 20 C olduğu varsayımıştır. Ayrıca bina içerisinde karşılıklı konumlandırılmış olan A1 açıklığının (menfezin) alanı 1,5 m2 , A2 açıklığının (menfezin) alanı 2,0 m2 ve A1 ve A2 açıklıklarının orta noktaları arasındaki düşey mesafe H = 2,8 m olarak ölçülmüş olsun.
Ae rüzgar yönünde ve tersi yönde olan açıklıkların aynı yükseklikteki eşdeğer etkin alanı;

= 1,70 m2
Sıcaklık farkı etkisi nedeniyle hacimsel hava akış oranı (temiz hava debisi) ise;

= 1,23 m3/s
Hava değişimi sayısı:
C = Qa / Vo = 0,01023 s-1 = 37 h-1
Arka plan yoğunluğu:
Xb = (f x Qg) / (c x Vo) = 0,002 vol / vol = %0,2
Kalite faktörü k = 3 olarak alınmıştır.
Kritik yoğunluk (Xcrit):
Xcrit = LEL x 0,25 = 0,00425 vol/vol
Xcrit > Xb olduğundan dolayı seyrelme derecesi ORTA olacaktır. Havalandırmanın emre amadeliği (kullanılabilirliği) VASAT olarak öngörülmüştür.
Tehlikeli Bölge Sınıfı ve Genişliği
TS EN 60079-10-1:2021 standardı Çizelge D.1 uyarınca tehlikeli bölge ZONE 2 olarak tespit edilmektedir.

Derişimlerin mukayesleri ve salım durduktan sonra kritik derişimlere ulaşmak için gerekli zaman dikkate alındığında ortaya çıkan alan, bina içi alanın hacmini kaplayacaktır. Kısaca bina içerisi ZONE 2 olarak değerlendirilmelidir. Burada unutulmaması gereken nokta, bina içerisinde bir salım meydana geldiğinde gazın menfez açıklıkları yoluyla dışarıya çıkacağı, yani bu alanınların da bir salım kaynağı olarak değerlendirilerek ZONE hesaplarının yapılması gerektiğidir. Bu örnekte havalandırma menfezlerinin durumu kontrol edilmemiştir.
Tehlikeli Bölge (ZONE) Çizimi

Ekipman Grubu ve Sıcaklık Sınıfı
Propan gazı için ekipman grubu IIA ve sıcaklık sınıfı T2'ye uygun olmalıdır.
!! Bu örnekte kapalı alanda bir yanıcı gaz salımı gerçekleşmesi durumunda patlayıcı ortam oluşma ihtimalinin TS EN 60079-10-1:2021 standardına göre değerlendirilmesi üzerine çalışma yapılmıştır. Gaz/buhar salım debisi formüllerinin ve havalandırma hesaplarında kullanılan formüllerin tesis ve salım özelliklerine göre farklılık gösterebileceği unutulmamalıdır.